ECOLOGIA
Precipitação interna e interceptação da chuva em floresta de terra firme submetida à extração seletiva de madeira na Amazônia Central.1
Throughfall and rainfall interception by an upland forest submitted to selective logging in Central Amazonia.
Sávio J. Filgueiras Ferreira2, Flávio J. Luizão3, Ricardo L. Godinho DALLAROSA2
2 Coordenação de Pesquisas em Clima e Recursos Hídricos - CPCR/INPA. Cx. Postal 478, CEP 69011-970, Manaus, AM. E-mail: savio@inpa.gov.br.
3 Coordenação de Pesquisas em Ecologia - CPEC/INPA. Cx. Postal 478, CEP 69011-970, Manaus, AM.
RESUMO
Em uma área de floresta de terra firme na Amazônia Central submetida à extração seletiva de madeira (6-10 árvores ou 34 m3 ha-1 de madeira), foram medidas a precipitação interna e a interceptação da água da chuva num período de mais de dois anos. No primeiro ano, os dados coletados foram contínuos; no ano seguinte, as informações foram obtidas em campanhas intensivas em diferentes épocas do ano. Procurou-se quantificar as alterações produzidas pela extração seletiva na precipitação interna e na interceptação da chuva e, conseqüentemente, no ciclo hidrológico. Na floresta intocada (controle), a precipitação interna variou de 74,2 a 87,1 % e nas parcelas manejadas de 86,9 a 92,9%, verificando-se um aumento na precipitação interna após a extração seletiva de madeira. No entanto, as alterações provocadas pela extração seletiva na precipitação interna, que é a transferência de água da atmosfera para o solo após percolar o dossel da floresta, não foram estatisticamente significativas. Mas a interceptação da chuva, uma das partes do ciclo hidrológico, que retorna para a atmosfera e contribui para novas chuvas, foi significativamente alterada pela extração seletiva, provocando uma diminuição da quantidade de água retida pelo dossel.
Palavras-chave: Manejo florestal, ciclo hidrológico, dossel florestal, Amazônia Central.
ABSTRACT
Throughfall and rainfall interception were measured during a 2-year period in forest submitted do selective logging (6-10 trees or 34 m3 ha-1 of timber). In the first year data were collected continuously; in the following year, data were obtained during intensive campaigns at different seasons. The goal was to quantify the changes produced by selective logging, both on throughfall and rainfall interception, and consequently in the forest hydrological cycle. The internal throughfall varied from 74.2 to 87.1%, in the pristine forest area (control), to 86.9 - 92.9%, in the managed plots, after selective logging. However, the changes in internal throughfall, which is the water transfer from the atmosphere to soil after percolating the forest canopy, due to the selective logging, were not significant. On the other hand, the rainfall interception, one part of the hydrological cycle, which returns water vapour to the atmosphere, contributing for the formation of new rains, was significantly changed by forest management, producing a decrease in the water retained by the forest canopy.
Key words: Forest management, hydrological cycle, forest canopy, Central Amazonia.
INTRODUÇÃO
A distribuição das chuvas na Amazônia é bastante irregular, apresentando variabilidade espacial e temporal. As médias anuais de precipitações variam de mais de 6000 mm nas encostas dos Andes a aproximadamente 1600 mm na interface da Amazônia com o cerrado do Planalto Central Brasileiro (Salati, 1983), sendo a média geral da ordem de 2300 mm anuais (Fisch et al., 1998). Apesar da distribuição de chuvas ser assim tão variada, toda a região amazônica é essencialmente marcada por dois períodos alto (cheia) e baixo nível das águas dos rios (vazante) que têm um papel fundamental na região e cuja dinâmica é profundamente afetada pelo regime hidrológico. Na cidade de Manaus, a média anual de chuva no período 1911 até 1985 foi de 2107 mm; a estação chuvosa (dezembro-maio) teve precipitação média de 1546 mm (73,4 %) enquanto que a estação mais seca (junho-novembro) apresentou média de 561 mm (26,6 %) (Ribeiro, 1991). Para a região amazônica, o período de chuvas ou forte atividade convectiva é compreendido entre Novembro e Março, sendo que o período de seca é entre os meses de Maio e Setembro, sem grande atividade convectiva. Os meses de Abril e Outubro são meses de transição entre um regime e outro. A distribuição de chuva no trimestre Dezembro-Janeiro-Fevereiro apresenta uma região de precipitação alta (acima de 900 mm) situada na parte oeste e central da Amazônia e o máximo da chuva na região central da Amazônia (próximo de 5 ºS) pode estar sendo associado com à penetração de sistemas frontais da região sul, interagindo e organizando a convecção local (Fisch et al., 1998).
A interceptação da chuva pela cobertura florestal representa uma importante parcela de água que cai sob a forma de chuva, retornando parte desta à atmosfera por evaporação antes de chegar ao solo, contribuindo assim diretamente para a massa de vapor de água precipitável na atmosfera. Utilizando a técnica de fracionamento isotópico (180/16O) Salati et al. (1979) confirmaram o papel da reciclagem da água na bacia Amazônica, mostrando que mais de 50 % do vapor d'água que forma nuvens e se precipita é produzido pelo processo de evapotranspiração local.
Cálculos de balanço hídrico para a bacia amazônica realizados por Villa Nova et al. (1976) mostraram que a bacia funciona como um sistema que recebe, através da precipitação, 14,4 x 1012 m3 de água por ano e produz uma descarga superficial de 5,5 x 1012 m3 por ano, com uma evapotranspiração de 8,9 x 1012 m3. A transpiração pelas plantas é responsável por 61,8 % do balanço hídrico, indicando que um desmatamento intensivo deverá trazer profundas alterações no ciclo hidrológico regional. Estimativas do balanço hídrico em área de floresta de terra firme indicaram uma perda de água por evaporação da ordem de 41,8 % do total da precipitação, para um lisímetro em um Latossolo Amarelo, e de 26,4% para um lisímetro com areia quartzosa (Leopoldo et al., 1993). A evapotranspiração da cobertura florestal foi estimada em 67,9 %, o que levou os autores a concluir que o desmatamento em grande escala poderá diminuir drasticamente a evapotranspiração, com conseqüências diretas no balanço de água e da radiação solar, levando à expectativa de mudanças importantes nas condições climáticas da região. Nobre et al. (1991) usaram um modelo atmosférico e biosférico global para avaliar o efeito do desmatamento na Amazônia no clima regional e global, bem como o efeito da substituição da floresta por pastagens, concluindo que isto levaria a um aumento da temperatura, diminuição da evapotranspiração e da precipitação na região. A simulação também indicou um aumento na duração da estação seca. Os seus resultados sugerem que a completa e rápida destruição da floresta pode ter efeitos irreversíveis no ciclo hidrológico da região. Na Amazônia Central, o projeto ABRACOS (Anglo-Brazilian Climate Observations Study), obteve informações sobre características da floresta amazônica e de áreas desmatadas da região, utilizando-as para calibrar modelos climáticos. As simulações desses modelos indicam que haveria uma resposta substancial ao desmatamento: o clima ficaria mais quente e menos úmido e os volumes de chuva diminuiriam no seu total anual em cerca de 20%, caso a floresta amazônica fosse completamente substituída por pastagens (Nobre & Gash, 1997).
No caso de intervenções humanas menos drásticas, como extração seletiva de madeira (E.S.M.), não há estudos realizados na Amazônia brasileira sobre seu impacto na distribuição das chuvas. Desde a década de 1980, o Instituto Nacional de Pesquisas da Amazônia - INPA, vem desenvolvendo experimentos com manejo florestal visando a produção sustentável de madeira. Em 1993, o projeto "BIONTE" - Biomassa e Nutrientes na Floresta Tropical Úmida, que foi um projeto interdisciplinar financiado pelo DFID (Department for International Development) do Reino Unido, realizou um experimento com corte seletivo da floresta, com o intuito de estudar os efeitos ecológicos da extração seletiva de madeira e definir as estratégias de corte seletivo sustentável de árvores. Como parte desse projeto, o presente estudo teve como objetivo principal verificar se o manejo florestal causou modificações na interceptação da chuva, precipitação interna e, assim, no ciclo hidrológico, provocada pela diminuição do dossel.
MATERIAL E MÉTODOS
Descrição do local do experimento
O experimento foi realizado na Estação
Experimental de Manejo Florestal do INPA no km 23 da estrada vicinal ZF-2),
cerca de 80 km ao Norte de Manaus (coordenadas geográficas: 02o
37' a 02o 38' de latitude Sul e 60º09' a 60o11' de longitude
Oeste).
O comportamento climático característico do sítio de estudo
foi elaborado a partir de uma série de 10 anos de dados (1981-1990) de
temperatura, precipitação e umidade, coletados numa estação
climatológica principal, instalada em área aberta próximo
à estrada ZF-2, no km 14 (Figuras 1 e 2). A classificação
climática de Köppen é do tipo "Afi", designativo
de clima equatorial quente e úmido, com chuvas abundantes e bem distribuídas
ao longo do ano, sendo a temperatura média do mês mais frio sempre
superior a 18°C e possuindo características de isotermia, ou seja,
com amplitude térmica média anual (média do mês mais
quente menos a média do mês mais frio) inferior a 3°C, com
uma curta estação seca onde o menor índice (agosto) apresenta
precipitação levemente inferior a 100 mm. Como seria de se esperar,
a umidade relativa mostrou uma estreita e direta relação com a
precipitação. A característica de isotermia é confirmada
por uma diferença bastante reduzida entre as temperaturas médias
inferior (24,8ºC, em julho) e superior (26,9ºC, em novembro). As amplitudes
térmicas, entretanto, são da ordem de 9ºC com valores um
pouco acima (.11ºC) no mês de agosto, quando a presença de
sistemas frontais (frentes frias) que vêm do sul do país (Molion,
1987), trazendo massas de ar subtropical e polar, faz cair os valores das mínimas.
A baixa nebulosidade permite, também, uma maior abundância de radiação
solar à superfície durante o dia, elevando o índice das
máximas e uma grande perda por irradiação de noite, que
reduz as mínimas.


A vegetação corresponde à Floresta Densa de Terra Firme (Guillaumet, 1987), sendo possível distinguir quatro camadas verticais: árvores acima de 15 m de altura, árvores de 12-15 m, árvores pequenas e arbustos de 7-12 m e arbustos até 7 m. Embora a floresta pareça homogênea na sua fisionomia, Jardim & Hosokawa (1987) registraram 324 espécies de árvores na área deste estudo, distribuídas em 173 gêneros e 57 famílias, mostrando que a floresta é bastante heterogênea. Segundo estes autores o solo suporta, em um hectare de floresta, 250 árvores com DAP (diâmetro à altura do peito) > 20 cm, correspondendo a um volume de 300 m3/ha. O solo da região deste estudo é um Latossolo Amarelo, álico, textura muito argilosa, muito ácido, com alto teor de alumínio e baixa capacidade de troca catiônica (CTC) (Camargo & Rodrigues, 1979, apud Chauvel et al., 1992). Faz parte da área da Sinéclise do Amazonas, em cujas margens foi depositada, no Terciário, uma sequência sedimentar, formando o que se denomina Grupo Barreiras (Vieira & Santos, 1987).
Nas parcelas do presente estudo, foram realizados dois experimentos silviculturais (cortes seletivos) idênticos: o primeiro ocorreu em julho de 1987 (M87) e o segundo foi realizado em fins de setembro de 1993 (M93), consistindo, em ambos os casos, na remoção de toda árvore das espécies com potencial madeireiro, chamadas "Espécies Listadas" (Higuchi et al., 1991), com um DAP maior que 50 cm. Em cada corte seletivo, foi utilizado o delineamento em blocos casualisados e com três repetições. Cada bloco (I, II e IV) foi dividido em seis parcelas de 4 ha cada (parcelas de 1 a 6) (Figura 3). (O bloco III nunca chegou a ser manejado, por apresentar solos e topografia distintos dos outros três).

O presente estudo foi dividido em duas partes: na primeira, os trabalhos de campo iniciaram-se em janeiro de 1994 (4 meses após a extração de madeira), nas três parcelas que sofreram extração seletiva em 1993 e em outras três intactas (controle), correspondendo a duas parcelas para cada bloco (dois tratamentos com três repetições); as medidas prosseguiram até fevereiro de 1995, com medidas de chuva e precipitação interna, que na sua maioria foram semanais. Na segunda parte do estudo, em 1995-96 (início = 1,5 anos após extração seletiva de 1993), apenas o bloco IV foi investigado e as atividades foram desenvolvidas em cinco campanhas intensivas: a primeira no mês de fevereiro/95 (época chuvosa), a segunda no mês de maio/95 (época chuvosa), a terceira no mês de julho/95 (época seca), a quarta no mês de outubro/95 (época seca) e a quinta no mês de janeiro/96 (época chuvosa). Cada campanha intensiva teve duração de 10 a 15 dias, nas parcelas controle (C) e extraída seletivamente em 1993 (M93), incluindo-se também no estudo uma parcela do bloco IV que sofreu extração seletiva similar em 1987 (M87 início = 7,5 anos após extração seletiva). Nesta parcela, foram demarcadas áreas de clareira e floresta remanescente da extração de 1987 (esta última, considerada como controle).
Chuva (Precipitação Total, PT )
Precipitação que chega ao topo da floresta. Foi medida por meio de dois pluviômetros, constituídos de um funil captador com 245 mm de diâmetro de boca e de um reservatório de água de 20 litros de capacidade. A quantidade de chuva foi calculada pela relação:
h = V/S (1)
sendo h a quantidade de chuva expressa em mm, V o volume de água de chuva expresso em mm3 e S a área da boca do funil em mm2.
Precipitação interna (PI)
Precipitação que atinge o solo. Na primeira parte do estudo, nas seis parcelas (três controles e três extraídas seletivamente), foram utilizados pluviômetros semelhantes aos empregados para as medidas do total de chuva. Em cada parcela-controle foram instalados sete pluviômetros, sendo um fixo e os demais mudados de locais mensalmente. Nas parcelas que sofreram extração seletiva, devido aos danos provocados, principalmente na cobertura florestal, o número de pluviômetros foi maior: em cada parcela foram instalados 13 pluviômetros, sendo um fixo (no centro de clareira) e 12 trocados mensalmente de local. Os pluviômetros foram trocados de posição porque a recolocação ao acaso de coletores para medir a precipitação interna é considerada mais apropriada do que o uso de coletores fixos (Lloyd & Marques Filho, 1988). Essa técnica possibilita atingir maior número de posições e, com isso, uma melhor estimativa da precipitação interna. Os pluviômetros foram instalados apenas na área central das parcelas. Na parcela controle o número total de possibilidades de posições para a instalação dos pluviômetros foi igual a 49 e na parcela extraída seletivamente o total foi igual a 128. Tanto a parcela controle quanto a manejada foram divididas a cada 25 m por picadas (P1, P2, P3, P4, P5 e P6), que eram caminhos para facilitar o acesso. Os locais para a instalação dos pluviômetros foram posicionados a 6 m de distância e perpendiculares a essas picadas. Para cálculo da altura da precipitação interna foi utilizada a equação (1), a mesma que foi empregada para o cálculo da chuva total; primeiro foi calculada individualmente para cada pluviômetro e depois calculou-se a média.
Interceptação (I)
A interceptação foi calculada pela equação seguinte:
I = PT - PI (2)
Onde PT e PI já foram definidos anteriormente. Não foi considerado neste cálculo o escoamento da chuva pelos troncos (Et), porque os valores são geralmente muito baixos, menor que 2% do total (Franken et al.,1982a; Leopoldo et al., 1987; Lloyd & Marques, 1988; Ubarana, 1996).
Os resultados de precipitação interna obtidos na primeira fase do estudo foram analisados estatisticamente através do teste de Student ao nível 5 % de probabilidade e submetidos à análise de variância para comparação entre blocos (I, II e IV) e tratamentos (controle e extração seletiva) e também foram correlacionados com os dados de chuva total.
RESULTADOS E DISCUSSÃO
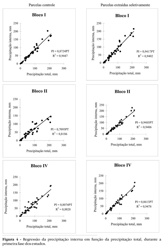
Na primeira fase do estudo (4-18 meses após E.S.M.), num período de 14 meses, o total de chuva registrado foi de 3126 mm; para 1 ano, a precipitação foi de 2913 mm. Este valor anual está bem acima do valor médio para a Amazônia Central, que se situa em torno de 2300 mm (Fisch et al., 1998). Todas as regressões entre a precipitação interna e os totais de chuva foram significativas ao nível de 5 ou 1% (Figura 4), indicando alta correlação. Nas parcelas-controle, a precipitação interna (PI) variou entre 74,2% no bloco II e 87,1% no bloco I (Tabela 1). Conseqüentemente, a parcela-controle do bloco II foi a que apresentou a maior interceptação (I), de 25,8%, e a do bloco I foi a que apresentou o menor valor, 12,9%.


A interceptação da chuva em florestas tropicais varia consideravelmente, entre 4,5 e 45% (Jordan & Heuveldop, 1981; Read, 1977). No entanto, os resultados do presente estudo para floresta intacta situam-se dentro da faixa de valores encontrados em outros estudos em floresta de terra firme na Amazônia brasileira (25,6 a 11,6%), incluindo alguns realizados em áreas de floresta da estrada ZF-2, próximas à desse estudo (Tabela 2). No presente trabalho, no controle do bloco I, com interceptação de apenas 12,9%, foi registrado o valor mais elevado de PI entre as parcelas-controle, 87,1 % (Tabela 1). Esse valor de PI foi muito próximo aos 87 % encontrados por Ubarana (1996) na Reserva do Jaru, em Rondônia. O valor mais baixo de PI, 74,2%, foi registrado na parcela-controle do bloco II; consequentemente, nesta parcela registrou-se o valor mais alto de interceptação, 25,8 %, que foi muito próximo ao calculado por Schubart et al. (1984), de 25,6%, para a Bacia Modelo, próxima à área do estudo atual. Além da heterogeneidade florestal e da estrutura morfológica da vegetação variável, o emprego de diferentes metodologias também é apontado por Franken et al. (1982a) como um dos responsáveis pelas diferenças nos dados.

Segundo Tucci (1993), a interceptação da chuva pelo dossel depende de vários fatores: características da precipitação e condições climáticas, tipo e densidade da vegetação e época do ano. Como nas parcelas-controle dos três blocos foi empregado o mesmo sistema de amostragem, acredita-se que o fator que mais contribuiu para a diferença nos resultados de precipitação interna e de interceptação da chuva, ou seja, na variabilidade dos dados, foi a estrutura florestal muito heterogênea na área de estudo (Jardim e Hosohawa, 1987). Conforme esperado, as parcelas que sofreram extração seletiva de madeira apresentarem valores de precipitação interna mais elevados do que suas respectivas parcelas-controle, devido à redução na área do dossel, que intercepta a água das chuvas. No entanto, as diferença na PI entre cada parcela controle e a sua respectiva parcela cortada seletivamente foi, com exceção do bloco II, relativamente pequena (entre 5,7 %, no bloco IV e 18,72 %, no bloco II), não apresentando diferenças estatísticas entre os dois tratamentos pelo teste t de student ao nível de 5% de probabilidade. Mesmo na ausência de diferenças significativas, devido à alta variabilidade dos dados, pode-se esperar algumas mudanças nos processos do solo ligados à água, em função das alterações na cobertura vegetal.
Melo-Ivo et al. (1997) constataram que logo após o corte seletivo de árvores, com a formação de clareiras, ocorreu um aumento, tanto da umidade do solo quanto de concentração nutrientes na solução do solo, devido à disponibilidade de materiais de fácil decomposição, como raízes mortas e a liteira acumulada, que aumentaram suas entradas no solo. A diminuição do dossel florestal e a diminuição do sistema radicular possivelmente tenham sido os principais causadores do aumento do conteúdo de água no solo nas clareiras (Melo-Ivo et al., 1997; Ferreira et al., 2004). Os solos da Estação de Manejo Florestal da ZF-2 apresentam baixa disponibilidade de nutrientes para as plantas (Ferraz et al., 1998) e, considerando que ocorreu uma diminuição da demanda de nutrientes com a remoção de árvores e conseqüentemente morte de suas raízes, maior concentração de nutrientes disponíveis no solo das clareiras. Por outro lado, aumentou a exposição do solo à entrada de água da chuva e de luz, deixando os nutrientes suscetíveis ao transporte para as camadas mais profundas do solo e, assim, a sua exportação do sistema solo-planta, pelos processos de fluxo de solutos: convectivo, difusão, dispersão hidrodinâmica e o combinado destes ( Hillel, 1998).
O resultado da análise de variância (Tabela 3) realizada com os dados de precipitação interna, comparando blocos e tratamentos ( parcelas controles e extraída seletivamente), não mostrou diferenças significativas ao nível de 5 % de probabilidade, indicando que a diminuição do dossel produzida pelo manejo não causou alteração significativa na entrada de água para o solo. Porém, é preciso ressaltar que os valores da PI não refletem tão bem as mudanças ocorridas no dossel florestal, melhor representadas pela interceptação da água das chuvas. Esta diminuiu entre 35% (no bloco IV) e 361% (no bloco II) em relação ao controle; no bloco I, a diminuição da interceptação foi de 83,2%.

A análise de variância (Tabela 4) realizada para a interceptação mostrou uma diferença significativa entre as parcelas controles e as manejadas: em todas as parcelas que sofreram extração seletiva de madeira, a interceptação foi significativamente menor do que em suas respectivas parcelas-controle. A parcela extraída seletivamente no bloco IV forneceu a interceptação mais elevada (13,1%) e as parcelas dos blocos I e II apresentaram interceptações iguais entre si (7,1%). Assim, houve alteração no ciclo hidrológico, no que diz respeito a esse compartimento (dossel florestal), pois a parte da chuva que não é interceptada pelo dossel, deixa de retornar para a atmosfera (por evaporação direta) onde iria contribuir para a formação de novas chuvas.

Na segunda etapa do estudo (campanhas intensivas de curta duração), correspondendo a apenas quatro parcelas do bloco IV, duas controles e duas extraídas seletivamente em 1993 e 1987 (respectivamente 1,5-2,5 e 7,5-8,5 anos após a extração da madeira), o total de chuva no período das cinco campanhas intensivas ao longo de 11 meses foi de 273 mm. O valor mais baixo de precipitação interna, 72 % (Tabela 5), foi medido na parcela-controle de 1987, e o valor mais alto, 89,5 %, na parcela extraída seletivamente em 1987. Conseqüentemente, essas parcelas apresentaram respectivamente os valores mais altos (28%) e os mais baixos (10,5%) de interceptação da água da chuva.

A precipitação interna e a interceptação na parcela-controle e na extraída seletivamente em 1993 do bloco IV forneceram resultados muito similares para as duas etapas do estudo (Tabelas 1 e 5). No primeiro ano, nas coletas sistemáticas, geralmente semanais e contínuas, o valor de precipitação interna para a parcela controle foi 81,2 %, enquanto que no segundo ano, com coletas diárias em cinco diferentes épocas do ano, foi 81,1 %. Para a parcela extraída seletivamente, os valores foram de 86,9 % para a primeira etapa e 85,9%, para a segunda. Na segunda etapa a parcela manejada em 1987 forneceu o valor mais elevado de precipitação interna (89,5 %), e a sua parcela controle o valor mais baixo (72%). A parcela manejada de 1987 encontrava-se coberta por vegetação secundária e, mesmo assim, apresentou o valor mais elevado de precipitação interna do que a parcela manejada em 1993. Mais uma vez foi observada uma grande variabilidade dos dados de precipitação interna para a floresta de terra firme na Amazônia, devido à sua estrutura florestal. Também foi verificado que os cortes seletivos de árvores realizados em 1987 e 1993, que produziram diminuição no dossel florestal, ainda mantiveram a alteração no ciclo hidrológico devido à diminuição de parte da chuva que é interceptada pelo dossel, diminuindo a água evaporada por este compartimento florestal.
Todas as regressões entre dos dados de chuva e os de precipitação interna durante as campanhas intensivas foram significativas ao nível de 5 % (Figura 5). Observa-se que durante as campanhas intensivas o coeficiente de determinação da parcela controle do bloco IV de 1993 (R2 = 0,9503) foi mais elevado do que durante as coletas semanais (0,883). Os coeficientes de determinação foram sempre mais elevados nas parcelas extraídas seletivamente em 1993 do que nas parcelas-controle (Figura 3), mostrando que a floresta intacta tem uma variabilidade natural mais elevada nas medidas de precipitação interna. Este padrão ocorreu tanto no primeiro ano do trabalho (coletas sistemáticas) como no segundo ano (campanhas intensivas, com coletas diárias) (Figura 5). Os coeficientes de determinação (R2) foram mais elevados durante as campanhas intensivas do que para as coletas sistemáticas ao longo de 14 meses, sugerindo que o uso de campanhas intensivas pode gerar resultados mais consistentes para comparação de tratamentos efetuados em floresta tropicais, com alta diversidade vegetal.

CONCLUSÕES
As medições da precipitação interna e da interceptação da água de chuva, conduzidos em floresta de terra firme na Amazônia Central (Estação de Manejo Florestal do INPA, km 23 da estrada vicinal ZF-2), revelaram que a extração seletiva de madeira (34 m3 ha-1) não produziu alteração significativa na precipitação interna, ou seja, na distribuição de água de chuva para o solo, após percolar o dossel florestal.
A interceptação da chuva, uma das partes importantes do ciclo hidrológico, por retornar diretamente e mais rapidamente vapor d'água para a atmosfera e, então, contribuir com a formação de novas chuvas, foi significativamente alterada pela extração seletiva, pela diminuição da quantidade das chuvas retida pelo dossel.
AGRADECIMENTOS
Aos colegas João Augusto Dantas de Oliveira, Pedrinho de Almeida Paiva, Jonas de Oliveira Moraes, Luiz Vilmar Souza da Silva e Walter Jorge do Nascimento Filho, pelas valiosas colaborações (INPA). Também somos gratos a Sheila M. Ross ( University of Liverpool England), Walane Maria Pereira de Mello-Ivo (CPATC/EMBRAPA), Yvan Biot (Department for International Development DIFID) e Folco H. H. H. van Rij.
BIBLIOGRAFIA CITADA
Bruijnzeel, L.A. 1990. Hydrology of moist tropical forest and effects of conversion: a state of knowledge review. UNESCO/ International Association for Hydrological Science, Amsterdan. 224pp.
Camargo, M.N.; Rodrigues, P.E. 1979. Guia de excursão. In: XVII Congresso Brasileiro de Ciência do Solo, Manaus. EMBRAPA, 72 pp.
Chauvel, A.; Vital, A.R.T.; Lucas, Y.; Desjardins, T.; Franken, W.; Luizão, F.J.; A-Araguás, L.; Rozanski, K. e Bedmar, A. P. 1992. O papel das raízes no ciclo hidrológico da floresta Amazônica. In: VII Congresso Brasileiro de Meteorologia. Anais. São Paulo. p. 29-37.
Ferraz, J; Ohta, S; Salles, P.C. 1998. Distribuição dos solos ao longo de dois transectos em Floresta primária ao Norte de Manaus (AM). In: Higuchi, N.; Campos, M. A. A.; Sampaio, P. T. B.; Santos, J. (Eds), Pesquisas Florestais para a Conservação da Floresta e Reabilitação de Áreas Degradadas da Amazônia. Instituto Nacional de Pesquisas da Amazônia. Manaus, Amazonas. p. 110-143.
Ferreira, S.J.F.; Luizão, F.J.; Ross, S.M.; Biot, Y: Mello-Ivo, W.M.P. 2004. Soil water storage in an upland forest after selective logging in Central Amazonia. R. Bras. Ci. Solo, 28: 59-66.
Fisch, G.; Marengo, J.A.; Nobre, C.A. 1998. Uma revisão geral sobre o clima da Amazônia. Acta Amazonica, 28(2): 101-126.
Franken, W; Leopoldo, P.R., Matsui, E.; Ribeiro, M.N.G. 1982a. Interceptação das precipitações em floresta amazônica de terra firme. Acta Amazonica, 12 (suplemento): 15-22.
Franken, W; Leopoldo, P.R., Matsui, E.; Ribeiro, M.N.G. 1982b. Estudo da intercepção da água de chuva em cobertura florestal amazônica do tipo terra firme. Acta Amazonica, 12(2): 327-331.
Guillaumet, J.L. 1987. Some structural and floristic aspect of the forest. Experientia, 43(3): 241-251.
Higuchi, N; Santos, J.; Vieira, G; Ralfh, J.R.; Sakurai, S.; Ishizuka, M.; Sakai, T.; Tanaka, N.; Saito, S. 1998. Análise Estrutural da floresta primária da Bacia do rio Cuieiras, ZF-2, Manaus-Am, Brazil. In: Higuchi, N.; Campos, M. A. A.; Sampaio, P. T. B.; Santos, J. (Eds), Pesquisas Florestais para a Conservação da Floresta e Reabilitação de áreas Degradadas da Amazônia. Instituto Nacional de Pesquisas da Amazônia. Manaus, Amazonas. p. 52-81.
Higuchi, N.; Vieira, G.; Minete, L.J.; Freitas, J.V.; Jardim, F.C.S. 1991. Sistema S. E. L. (Seleção de Espécies Listadas) para manejar a floresta tropical úmida de terra firme da Amazônia. In: Val, A.L.; Figlioulo, R.; Feldberg, E. (Eds), Bases Científicas para Estratégias de Preservação e Desenvolvimento da Amazônia: Vol 1. Instituto Nacional de Pesquisas da Amazônia. Manaus, Amazonas. p. 197-206.
Hillel, D. 1998. Environmental soil physics. San Diego, Academic Press. 771 p.
Jardim, F.C.S; Hosokawa, R.T. 1986/87. Estrutura da floresta equatorial úmida da estação experimental de silvicultura tropical do INPA. Acta Amazonica, 16(17): 411-508.
Jordan, C.F.; Heuveldop, J. 1981. The water budget of an Amazonian rainforest. Acta Amazonica, 11: 87-92.
Leopoldo, P.R.; Chaves, J.G.; Franken, W.K. 1993. Solar energy budgets in central Amazonian ecosystems: a comparison between natural forest end bare soil areas. Forest Ecology and Management, 59: 313-328.
Leopoldo, P.R.; Franken, W.; Salati, E. Ribeiro, M.N. 1987. Towards a water balance in the Central Amazonian region. Experientia, 43(3): 222-233.
Lloyd, C.R.; Marques Filho, A.O. 1988. Spatial variability of throughfall and stemflow measurements in amazonian forest. Agricultural and Forest Meteorology, 42: 63-73.
Mello-Ivo, W; Ferreira, S; Biot, Y; Ross, S. 1997. Nutrientes na solução do solo após o corte seletivo de madeira em Floresta Tropical Úmida de Terra Firme ao Norte de Manaus, Brasil. Projeto BIONTE - Biomassa e nutrientes florestais Relatório final. MCT/INPA, Manaus, p. 173-181.
Molion, L.C.B. 1987. Climatologia dinâmica da região Amazônica: mecanismos de precipitação. Revista Brasileira Meteorologia, 2(1-2): 107 -117.
Nobre, C.A; Gash, J.H.C. 1997. Desmatamento muda clima da Amazônia. Ciência Hoje, 22 (128): 32-41.
Nobre, C.A.; Sellers, P.J.; Shukla, J. 1991. Amazonian deforestation and regional climate change. Journal of Climate, 4(10): 957-988.
Read, R.G. 1977. Microclimate as background environment for ecological studies of insects in a tropical forest. Journal of Applied Meteorology, 16: 1282-1291.
Ribeiro, A. 1991. Análise das variações climáticas observadas na região de Manaus (AM). Dissertação de Mestrado, Escola Superior de Agricultura "Luiz de Queiroz", Universidade de São Paulo. Piracicaba. 131pp.
Salati, E.; Dall´olio, A.; Matsui, E; Gat, J.R. 1979. Recycling of water in the Amazon Basin: an isotopic study. Water Resources Research, 15(5): 1250-1258.
Salati, E. 1983. O clima atual depende da floresta. In: Salati, E.; Junk, W.J.; Schubart, H.O.R; Oliveira, A. (Eds), Amazônia, desenvolvimento, integração e ecologia. São Paulo, Brasiliense, p. 15-44.
Schubart, H.O.R.; Franken, W.; Luizão, F.J. 1984. Uma floresta sobre solos pobres. Ciência Hoje, 2(10): 26-32.
Tucci, C.E.M. 1993. Interceptação. In: Tucci, C. E. M., (org), Hidrologia: ciência e aplicação. Porto Alegre, ABRH/Editora da Universidade/UFRGS, EDUSP. p. 243-252.
Ubarana, V.N. 1996. Observation and modelling of rainfall interception loss in two experimental sites in Amazonian forest. In: Gash, J.H.C.; Nobre, C.A.; Roberts, J.M.; Victoria, R.L. (Eds), Amazonian deforestation and climate. Chichester, John Willey, p. 151-162.
Uvo, C.R.B.; Nobre, C.A.; Citeau, J. 1988. Análise da posição da Zona de Convergência Intertropical (ZCIT) no Atlântico Equatorial e sua relação com a precipitação no Nordeste do Brasil. In: Anais do V Congresso Brasileiro de Meteorologia, 07-11 novembro. Rio de Janeiro.
Vieira, L. S.; Santos, P.C.T.C. 1987. Amazônia seus solos e outros recursos naturais. São Paulo, Ed. Agronômica Ceres. 416 pp.
Villa Nova, N.A.; Salati, E.; Matsui, E. 1976. Estimativa da evapotranspiração na bacia Amazônica. Acta Amazonica, 6(2): 215-228.
Recebido em 11/06/2004
Aceito em 26/11/2004
1 Parte da tese de doutorado do primeiro autor - Programa de Pós-Graduação, área de Ciências da Engenharia Ambiental, da Escola de Engenharia de São Carlos da Universidade de São Paulo.