AGRONOMIA

 

Efeitos de diferentes usos da terra sobre as características químicas de um latossolo amarelo do Estado do Pará1

Effect of land use and management on chemical properties of a yellow latosol in Pará State, Brazil

 

 

George Rodrigues da SILVA2, Mário Lopes da SILVA Jr.2, Vânia Silva de MELO3

1 Parte da Dissertação de Mestrado apresentada pelo segundo autor ao Curso de Mestrado em Solos e Nutrição Mineral de Plantas, da Universidade Federal Rural da Amazônia - UFRA.

2 Engº Agrônomo, Professor, Instituto de Ciências Agrárias da Universidade Federal Rural da Amazônia, Caixa Postal 917, Belém (PA). E-mail: george.silva@ufra.edu.br

3 Engª Agrônoma, M.Sc., Bolsista Capes, ICA/UFRA, CP 917, Belém (PA).

 

 


RESUMO

Estudou-se o efeito de diferentes tipos de cobertura vegetal e manejo sobre algumas características químicas de um Latossolo Amarelo, textura média, da Estação Experimental "José Haroldo", da CEPLAC, Marituba-PA. Foram amostradas parcelas sob floresta secundária (FS) explorada seletivamente, de aproximadamente 40 anos; de derruba e queima (DQ) da mesma floresta secundária; sob cultura de cacau (CC); e, sob área de pastagem abandonada (PA). Em cada área estudada foram abertos três perfis de 2 m de profundidade, coletando-se amostras de solo dos horizontes Ap, AB, BA e B21, totalizando 48 amostras compostas, que foram analisadas para pH, carbono orgânico, nitrogênio total (N), fósforo disponível (P) e bases trocáveis (K+, Ca2+, Mg2+ e Na+). Foram utilizadas análises de regressão para verificar as correlações existentes entre pH, nitrogênio total (N), fósforo disponível (P), matéria orgânica (MO) e soma de bases (SB). Houve aumento no pH, na soma de bases e no fósforo disponível e diminuição no conteúdo de matéria orgânica em área de derruba e queima; aumento no conteúdo de matéria orgânica em área de pastagem abandonada; aumento do conteúdo de P do solo em área de cultivo de cacau. Não houve efeito do tipo de cobertura vegetal no N-total do solo. Houve correlações positivas entre o pH x matéria orgânica do solo e desta com os conteúdos de N e P do solo.

PALAVRAS-CHAVES: Cobertura vegetal, Latossolo, características químicas, Amazônia.


ABSTRACT

The study was conducted at the Experimental Station "José Haroldo" of CEPLAC, Benevides, PA, to determine changes in chemical properties of a Yellow Latosol, medium texture, under different land cover systems. Samples were collected from the Ap, AB, BA, B21 horizons of the soil under a 40-year old secondary forest (FS), recent slash and burned secondary forest (DQ), cocoa cropping (CC) and degraded grassland (PA). Soil samples were analyzed for pH, organic carbon (SOC), total nitrogen (N), available phosphorus (P) and exchangeable bases (K+, Ca2+, Mg2+, Na+). Relationships among the soil chemical properties were determined by regression analysis. Results showed that available P, SOC and total N decreased with soil depth in all management systems. Highest values of available P, SOC and total N were found in the Ap horizon following the sequence cocoa > grassland > secondary forest. There was significant correlation between pH and SOC, and between SOC and soil N, and available P.

KEY WORDS: Land use, tropical soil, Amazon Basin.


 

 

INTRODUÇÃO

Na Amazônia, predominam os Latossolos Amarelos e os Argissolos, que são solos altamente intemperizados, com características físicas adequadas ao uso agrícola, mas com fortes limitações nutricionais (Vieira; Santos, 1987). O fósforo (P) é considerado o elemento mais limitante ao crescimento das culturas, sendo deficiente em 90% dos solos da região (Malavolta, 1980), seguido pelo N e pelo K; a matéria orgânica é a principal fonte de P (Vieira et al., 1993). Além disso, cerca de 70% dos solos da região amazônica são ácidos (Sanchez, 1981). Para o cultivo desses solos é necessário definir as exigências nutricionais das culturas, bem como a ocorrência de deficiências nutricionais durante o período de utilização da terra.

Vários estudos têm mostrado a importância das características químicas dos solos na produção das culturas e as alterações ocorridas nessas características em função dos sistemas de uso e manejo (Martins, 1992; Van Der Berg, 1995; Longo; Espíndola, 2000). A agricultura itinerante, principal meio de cultivo do solo na Amazônia, causa inúmeras modificações nas propriedades físicas, químicas e biológicas do solo a partir do momento em que o sistema natural é modificado pelo fogo (Brinkmann; Nascimento, 1973; Cerri et al., 1985). Entretanto, as cinzas são de fundamental importância, já que atuam como fonte de nutrientes e de calagem para os solos ácidos e de baixo teor de nutrientes que predominam na Região Amazônica (Smith; Bastos, 1984).

No sistema tradicional, apesar das vantagens que as cinzas oferecem, o solo é utilizado por um período curto de tempo com culturas de subsistência como o milho e a mandioca. Após esse período, ele se torna economicamente improdutivo e o agricultor o abandona, buscando novas áreas para cultivar (Smith; Bastos, 1984; Cerri et al., 1985). Nas áreas abandonadas, nasce uma vegetação secundária, chamada capoeira, que pode ser posteriormente derrubada e queimada, após vários anos de pousio. Essa prática de manejo provoca uma diminuição da matéria orgânica do solo, principal reservatório de nutrientes para o ecossistema (Sánchez, 1981). Na Libéria, uma análise de 100 sítios de agricultura nômade, verificou que o conteúdo de carbono orgânico se mantinha ao redor de 75% dos níveis de equilíbrio (Reed, 1951). Porém, com o aumento da população humana, a relação anos de cultivo/anos de pousio diminuiu, e o conteúdo de carbono orgânico baixou para 50% dos valores originais, devido ao manejo do solo e da cobertura vegetal, provocando a falta de sustentabilidade do sistema. Os dados anteriormente citados indicam a falta de sustentabilidade dos sistemas de produção quando se utiliza práticas de manejo que não conservem a matéria orgânica do ecossistema.

O trabalho teve por objetivo: a) avaliar os efeitos de diferentes tipos de cobertura vegetal em algumas características químicas de um Latossolo Amarelo, textura média, tais como pH, nitrogênio total, fósforo disponível, matéria orgânica e soma de bases; b) determinar as correlações existentes entre essas características químicas.

MATERIAL E MÉTODOS

Na Estação "José Haroldo", da Ceplac, em Marituba, PA, foram selecionadas, em 1995, quatro áreas de um Latossolo Amarelo, textura média (Neves; Barbosa, 1983), sob diferentes tipos de cobertura vegetal e manejo: 1) área de floresta secundária (FS) com mais de 40 anos de idade, explorada seletivamente; 2) área de derruba e queima (DQ) da mesma floresta secundária, com a queima feita três meses antes da coleta do solo; 3) área com cultura de cacau (CC), com 12 anos e 10 meses de idade, com a última adubação ocorrendo há 2,5 anos antes da coleta do solo; e, 4) área de pastagem (PA) com capim braquiária (Brachiaria decumbens), implantada em 1982 e abandonada há quatro anos. A estação José Haroldo está situada à margem direita da rodovia BR-316, a 17 km de Belém, no Município de Marituba, Micro Região de Belém, Estado do Pará. A interseção das coordenadas geográficas é de 48o 13' 30'' WGr, 1o 12' 00'' S. De acordo com a classificação de Köppen, o clima é do tipo Af, onde a pluviosidade no mês mais seco atinge índices superiores a 60 mm. A temperatura e a precipitação sofrem pequenas variações anuais e mantêm-se em um nível elevado durante todo o ano. A temperatura média anual da área é de 25,9 ºC, com valores para as médias das máximas e mínimas de 31,4 ºC e 22,4 ºC, respectivamente; a insolação anual é de 2.389,4 horas; a média anual de umidade relativa do ar é de 80%; e a precipitação média dos últimos 15 anos foi de 3.012 mm (Neves; Barbosa, 1983).

Em cada das quatro áreas estudadas foram abertos três perfis de dois metros de profundidade, com distância de 50 m de um para outro, coletando-se amostras simples do solo dos horizontes Ap, AB, BA e B21, totalizando 48 amostras compostas, que foram homogeneizadas e analisadas quimicamente para pH (em H2O, relação 1:2,5); matéria orgânica (MO), método de Walkley-Black, N total (N), pelo método de Kjeldahl; fósforo disponível (P), usando o extrator Mehlich 1; e bases trocáveis (K, Ca, Mg e Na), usando como extrator o cloreto de amônio 1M, de acordo com a metodologia proposta por Embrapa (1979). Cada amostra composta foi formada por três amostras simples

Para avaliar as variações nas propriedades químicas do solo em função do tipo de cobertura vegetal e manejo utilizou-se um delineamento inteiramente casualizado, gerado pelo "software" SAEG, em esquema fatorial 4x4x3 correspondente a quatro tipos de cobertura vegetal, quatro horizontes e três repetições. Quando o tipo de cobertura vegetal e/ou horizonte e a interação entre eles mostraram-se significativos pelo teste F, a comparação das médias foi feita pelo teste de Tukey a 5% de probabilidade. Para compreensão
das regressões entre pares de variáveis (propriedades químicas do solo), o método utilizado para obter estimativas consistentes e eficientes dos parâmetros foi o de mínimos quadrados ordinários (MQO), conforme descrito em Gujarati (1992). As funções foram especificadas da seguinte forma:

N = a10 + a11pH +1 ; (1)

P = a20 + a21pH +2; (2)

SB = a30 + a31pH +3 ; (3)

MO = a40 + a41pH + 4 ; (4)

N = a50 + a51MO + 5 ; (5)

P = a60 + a61MO + 6 ; (6)

SB = a70 + a71MO + 7 . (7)

RESULTADOS E DISCUSSÃO

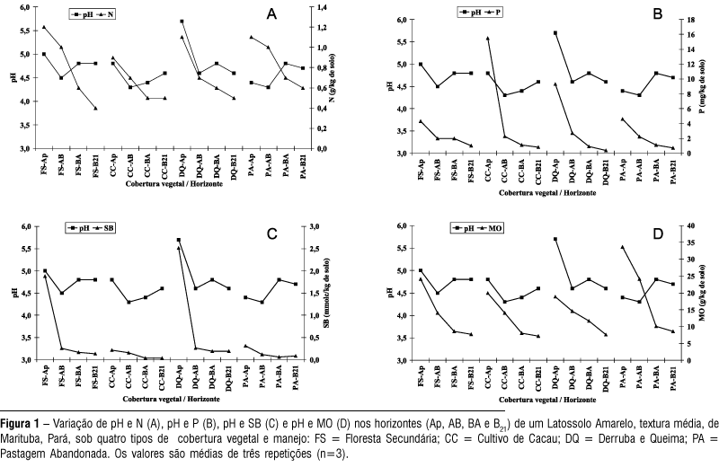
O maior valor de pH ocorreu no horizonte Ap da área de derruba e queima, que foi estatisticamente diferente das demais áreas estudadas (Tabela 1). Esse maior valor deve-se ao efeito da cinza, que neutraliza a acidez do solo pela ação de componentes básicos (K,Ca, Mg,) que são liberados após a queima da vegetação. Um aumento de 2,5 unidades de pH, foi observado em Latossolos e Argissolos de Capitão Poço/Pa, em uma área que sofreu derruba e queima (Martins et al.,1990). O aumento do pH em função da queima da vegetação foi observado também por Falesi et al. (1980), Smith e Bastos (1984), Cardoso et al. (1992), em vários solos da Amazônia.

No presente estudo, os maiores valores de pH ocorreram no horizonte Ap, exceto na área de Pastagem Abandonada (PA) (Tab. 1 e Fig. 1). De maneira geral, houve diminuição do pH com aumento da profundidade (Fig. 1), sugerindo o efeito da mineralização da matéria orgânica, o que proporciona a liberação de cátions na camada superficial do solo.

O pH variou entre 4,3 (CC-AB e PA-AB) e 5,7 (DQ-Ap), sendo a variação entre os horizontes BA e B21 nula em área de floresta secundária (FS), aumentando em área de cultivo de cacau (CC) e diminuindo em áreas de derruba e queima (DQ) e de pastagem abandonada (PA) (Fig. 1A a 1D). A variação do pH (intervalo de 4,3 até 5,7) é própria da maioria dos solos da Amazônia, onde normalmente este índice está situado na faixa que varia entre 4,0 e 5,5 (Falesi et al. 1980; Vieira; Santos, 1987). Os maiores valores de pH, nos horizontes Ap e AB, ocorreram na seguinte ordem decrescente: DQ > FS > CC > PA. Tal variação está diretamente relacionada com a variação do teor das bases trocáveis, que diminuiu com a profundidade.

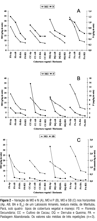
Os teores de matéria orgânica, nitrogênio total, fósforo disponível e soma de bases sofreram diminuição em horizontes mais profundos (Tab. 1), sendo que nos horizontes Ap das áreas sob cultivo de cacau (CC), pastagem abandonada (PA) e floresta secundária (FS), foram encontrados, respectivamente, os maiores teores de fósforo disponível (P), matéria orgânica (MO) e nitrogênio total (N), o que já havia sido observado por Falesi et al. (1980), Neves e Barbosa (1983), Vieira et al. (1993) e Silva Júnior et al. (1996).

Verificou-se que o conteúdo de MO, no horizonte Ap, variou com o tipo de cobertura vegetal e manejo e decresceu com o aumento da profundidade em todas as áreas estudadas (Tab. 1 e Fig. 2), sendo estatisticamente diferente dos demais horizontes. Este decréscimo foi também observado por Moraes (1991), que registrou conteúdos de carbono e nitrogênio concentrados, principalmente na camada superficial, em solos da Bacia Amazônica. O maior valor encontrado em área de Pastagem Abandonada (PA) deve-se à intensa deposição de resíduos orgânicos originados a partir da morte do sistema radicular das gramíneas.

Em relação ao maior conteúdo de MO em área de pastagem, Cerri et al. (1992) demonstraram que esta pode não só recuperar os teores de carbono do solo, como em alguns casos superá-los, concordando com os resultados aqui obtidos.

O menor valor de MO (18,9 g/kg de solo) ocorreu em área de derruba e queima (DQ), evidenciando o efeito negativo da queima no conteúdo de MO. Cardoso et al. (1992), estudando Latossolos de cinco localidades do Sul do Pará (Micro Região de Marabá Marabá e Itupiranga), verificaram uma diminuição no conteúdo de MO do solo devido ao preparo de área utilizado pelos agricultores, por meio de derruba e queima.

Assim como a matéria orgânica, o nitrogênio total (N) apresentou conteúdos decrescentes com a profundidade em todos os perfis estudados (Tab. 1 e Fig. 2A). Tal variação também foi observada por outros autores, em vários tipos de solo da Amazônia (Santos et al., 1983; Vieira; Santos, 1987). Os conteúdos de N-total não apresentaram diferenças significativas para a camada superficial do solo, em função do manejo. No entanto, os horizontes superficiais apresentaram as maiores concentrações de nitrogênio concordando com os trabalhos de Cerri (1989) e de Martins et al. (1986),77 em solos da Bacia Amazônica, onde verificaram que a maioria do N- total encontra-se estocado nos primeiros 20 cm do solo, devido ao maior acúmulo de matéria orgânica.

O fósforo apresentou valores com tendência decrescente em relação à profundidade, em todos os perfis estudados (Fig. 1B), refletindo a baixa mobilidade desse nutriente no solo. O maior teor de P foi encontrado no horizonte Ap da área de cultivo de cacau (15,5 mg/dm3), que foi estatisticamente diferente dos demais tipos de cobertura vegetal, devido aos resíduos da adubação fosfatada da área. Alguns trabalhos mostram que há acúmulo de P na camada superficial dos solos cultivados devido à pouca mobilidade e à baixa solubilidade de seus compostos, sobretudo em solos de natureza ácida, com altos teores de óxidos de ferro e alumínio (Cardoso et al., 1992; Santos et al., 2003).

Na área de derruba e queima, verificou-se um aumento de P no horizonte Ap, em comparação com a área de floresta. Resultados semelhantes foram obtidos por Falesi et al. (1976) e Cardoso et al. (1992), que observaram que após a derruba e queima da floresta, o fósforo aumentou em decorrência da deposição de cinzas e material vegetal decomposto.

O solo estudado apresentou acidez elevada para todos os tipos de cobertura vegetal e profundidade, exceto para o horizonte Ap da área de derruba e queima. Esse maior valor de pH é devido à neutralização da acidez por cátions básicos, o que é corroborado pelo maior valor de soma de bases (SB = 25,1 mmolc/dm3 de solo) nesse horizonte (Tab. 1). Comportamento inverso ocorreu nas demais profundidades estudadas, principalmente a partir do horizonte AB, em todos os tipos de cobertura vegetal, quando então se acentuou a acidez ativa, com conseqüente decréscimo da soma de bases. Cardoso et al. (1992), estudando vários solos do Sul do Pará, encontrou alta correlação entre pH e soma de bases.

O horizonte Ap do solo sob floresta apresentou elevado valor de SB (Tab. 1). No entanto, não se verificou o mesmo comportamento em horizonte Ap de área de pastagem abandonada. Provavelmente, essa diferença pode ser atribuída ao alto consumo de bases pelas gramíneas, na área de pastagem ( Malavolta, l980; Reis, 2005).

Todos os interceptos (a0) das correlações calculadas foram positivos e significativos a 5% de probabilidade de erro, avaliados pelo teste t de Student (Tab. 2). O valor a0 = 2,86 na função 2 dá a variação de P quando o pH for nulo. O sinal do parâmetro foi significativo, indicandoa relação positiva entre MO e pH, ou seja, mostrando que a variação do pH foi diretamente proporcional à variação na MO. O intercepto das análises de regressões lineares simples nas funções de 1 a 4 (Tab. 2) mostra o comportamento médio das variáveis N, P, SB e MO, na ausência de influência do pH.

O coeficiente de correlação simples (r), que indica a inter-relação existente entre pares de variáveis, à exceção dos obtidos para as funções 4, 5 e 6, indicou que as variações ocorridas nas variáveis N, P e SB não foram significativamente correlacionadas com a variação do pH, e que a SB não se correlacionou significativamente com MO, o que se confirmou por meio do teste F de Snedecor.

A baixa correlação entre pH e N (r = 0,35) na função 1, é explicada pela alta solubilidade de sais nitrogenados inorgânicos em toda a faixa de pH (Sánchez, 1981; Brady, 1989); porém, o pH dos solos estudados foi sempre inferior a 6 e a mineralização de N é maior entre pH 6,0 e 8,0. A baixa e não-significativa correlação (r = 0,11) entre pH e P, na função 2, foi conseqüência da pouca solubilidade do P em pH mais ácido; esta é máxima nos solos com pH variando entre 6,0 e 7,0. Na função 3, em que pH e SB apresentaram correlação não-significativa (r = -0,01), observou-se que as variações ocorridas em uma das variáveis independe da variação da outra.

O coeficiente de correlação da função 4 (r = 0,67), mostrou uma alta e significativa correlação entre MO e pH. Isto ocorre devido à mineralização da matéria orgânica, que supre constantemente o solo de bases (Martins; Cerri, 1986): o pH influencia a atividade microbiana do solo, esta aumentando à medida que aquele também aumenta, até atingir valores um pouco acima de 7,5, favorecendo a liberação de OH- e cátions básicos que irão neutralizar os íons H+, pela decomposição e mineralização da matéria orgânica.

A matéria orgânica (MO) apresentou correlação alta e significativa com o N (r = 0,80) (função 5), uma vez que a quase totalidade do nitrogênio do solo provém da mineralização da matéria orgânica (Brady, 1989; Sánchez, 1981). Na função 6 (r = 0,49), observa-se que houve correlação significativa entre MO e P, confirmada por meio dos trabalhos de Smith Acquaye (1963), Vieira (1966) e Vieira et al. (1993), em que esses autores demonstram que, em média, mais da metade do P total do solo está na forma de P orgânico, sendo este a principal fonte de P para as plantas. O coeficiente de correlação na função 7 (r = 0,39), indicou a baixa relação que existiu entre MO e SB, confirmada por meio do teste F.

O intercepto (a0) das análises de regressões lineares simples nas funções de 5 a 7 (Tab. 2), mostra que somente na função 5 o intercepto foi significativo, indicando uma variação de a0 = 0,041 em N quando MO for nulo. Os sinais dos parâmetros a1 foram significativos nas funções 5 e 6, apresentando relação positiva entre MO e N e MO e P, mostrando que a variação em N e P foi diretamente proporcional à variação em MO, ou seja, um aumento unitário em MO leva a um aumento de 0,026 em N (função 5) e 2,529 em P (função 6). O coeficiente de correlação simples (r), indicou que as variações ocorridas nas variáveis N e P foram significativamente correlacionadas com a variação de MO e que SB não se correlacionou significativamente com MO.

Depois do nitrogênio total, o fósforo disponível foi a variável que apresentou maior correlação simples com a matéria orgânica, conforme o valor (r = 0,49) da função 6 (Tab. 2 e Fig. 2B). Entretanto, os maiores valores de MO não corresponderam aos maiores valores de P, e vice-versa.

Verificou-se, assim, que para o solo estudado, a matéria orgânica (MO), apresentou relação forte com N, pH e P, e fraca com SB, conforme evidenciaram as correlações simples entre essas variáveis. Esses resultados são consistentes com os dados obtidos por Pacífico Homem (1961), ao observar melhorias nas propriedades químicas de solos sob florestas de eucalipto, decorrentes do acúmulo de serapilheira produzida por essa espécie vegetal, e por Sánchez (1981), ao estudar a influência da adubação orgânica nas propriedades químicas de um Grumossolo, constatando um aumento na produção de arroz inundado similar ao obtido pela adubação mineral com nitrogênio ou com fósforo.

CONCLUSÕES

A mudança do tipo de cobertura vegetal e manejo causou as seguintes alterações nas propriedades químicas do solo: aumento no pH, na soma de bases e no fósforo disponível e diminuição no conteúdo de matéria orgânica em área de derruba e queima; aumento no conteúdo de matéria orgânica em área de pastagem abandonada; aumento do conteúdo de P do solo em área de cultivo de cacau; não houve efeito do tipo de cobertura vegetal no N-total do solo.

O pH se correlacionou direta e significativamente com a matéria orgânica, mas não com o nitrogênio total, o fósforo disponível e a soma de bases.

A matéria orgânica se correlacionou direta e significativamente com o nitrogênio total e com o fósforo disponível, não apresentando correlação com a soma de bases.

BIBLIOGRAFIA CITADA

Brady, N.C. 1989. Natureza e propriedades dos solos. 7. ed. Rio de Janeiro: Freitas Bastos. 878pp.

Brinkmman, W.L.F.; Nascimento, J.C. 1973. The effect of slash and burn agriculture on plant nutrients in the Tertiary Region of Central Amazonia. Acta Amazonica, 3: 55-61.

Cardoso, A.; Martins, P.F.S.; Veiga Jr., I. 1992. Solos de áreas ocupadas por pequenos agricultores em algumas localidades da microrregião de Marabá-Pa.. Pont à Pitre. Universidade des Antilas Guianas. p.101-123.

Cerri, C.C.; Volkoff, B.; Eduardo, B.P. 1985. Efeito do desmatamento sobre a biomassa microbiana em Latossolo Amarelo da Amazônia. Rev. bras. Ci. Solo, 9: 1-4.

Cerri, C.C. 1989. Dinâmica da matéria orgânica em solos de pastagens. Simpósio sobre Ecossistemas de Pastagem. Anais... p. 135-147.

Cerri, C.C.; Moraes, J.F.L.; Volkoff, B.1992. Dinâmica do carbono orgânico em solos vinculados à pastagens da Amazônia brasileira. Investigation Agrária, Madrid, 1(1): 95-102.

EMBRAPA. Serviço Nacional de Levantamento e Conservação de Solo. 1979. Manual de métodos de análise de solo. Rio de Janeiro. 247pp.

Falesi, Í.C. 1976. Ecossistemas de pastagens cultivadas na Amazônia brasileira. Belém: EMBRAPA/CPATU, 193pp. (EMBRAPA/CPATU. Boletim Técnico, 1).

Falesi, Í.C.; Baena, A.R.C.; Dutra, S. 1980. Conseqüências da exploração agropecuária sobre as condições físicas e químicas dos solos das microrregiões do Nordeste paraense. Belém, EMBRAPA/CPATU. 49pp. (EMBRAPA/CPATU. Boletim de Pesquisa, 14).

Gujarati, D. 1992. Essentials of econometrics. New York: McGraw-Hill. 466pp.

Longo, R.M.; Espíndola, C.R. 2000. Alterações em características químicas de solos da região amazônica pela introdução de pastagens. Acta Amazonica, 30: 71-80.

Malavolta, E. 1980. Elementos de nutrição mineral de planta. São Paulo: Agronômica Ceres. 251pp.

Martins, P.F.S.; Cerri, C.C. 1984. Implicações ecológicas e agronômicas da exploração da Amazônia, relacionadas com as modificações da matéria orgânica. In: Simpósio do Trópico Úmido, I, Belém. Anais... Belém: EMBRAPA/CPATU, 1986. v.6. p.71-81 (EMBRAPA/CPATU. Documentos, 36)

Martins, P.F.S. 1992. Utilização de leguminosas visando o cultivo contínuo de culturas alimentares. In: Mesa redonda sobre recuperação de solos através do uso de Leguminosas. Belém, EMBRAPA/CPATU. (EMBRAPA/CPATU. Trabalhos e Recomendações). p.89-100.

Moraes, J.F.L. 1991. Conteúdo de carbono e nitrogênio nos solos da Bacia Amazônica. 1991. Dissertação de Mesttrado - CENA/USP, Piracicaba. 84pp.

Neves, A.A.S.; Barbosa, R.C.M.1983. Levantamento detalhado dos solos do Campo de Introdução de Theobroma na Amazônia. Ilhéus: CEPLAC, 30pp. (Boletim Técnico, 109).

Pacífico Homem, V. 1961. A cultura do eucalipto no melhoramento do solo. In: Segunda Conferência Mundial do Eucalipto. Anais..., v. 2, p. 911-918.

Reed, W.E. 1951. Reconnaissance soil survey of Liberia. U.S. Dept. Agr.: Inf. Bull.,n. 66.

Reis, M. S. 2005. Composição granulométrica e características químicas do solo de uma topossequência sob pastagem, numa frente pioneira de Marabá-PA. Universidade Federal Rural da Amazônia, Belém. Dissertação de Mestrado em Agronomia/Solos e Nutrição de Plantas. 71pp.

Sánchez, P.A. 1981. Suelos del Trópico: características y manejo. San José: IICA. 660pp.

Santos, E.E.F.; Santos, M.H.L. 2003. Influência do tempo de cultivo nas características químicas de um Latossolo no Oeste baiano. In: Congresso Brasileiro De Ciência Do Solo. 29, Ribeirão Preto, Anais... Ribeirão Preto: SBCS, CD.

Santos, P.C.T.C.; Vieira, L.S.; Vieira, M.N.F.; Cardoso, A. 1983. Os solos da Faculdade de Ciências Agrárias do Pará. Belém: FCAP, 60pp. (FCAP, Informe Didático, 5)

Silva Júnior, M.L.; Silva, G.R.; Vieira, L.S.; Grimm, U. 1996. Influência de diferentes sistemas de manejos nas características químicas de um Latossolo da Amazônia. Boletim da FCAP, 26: 77-92.

Smith, R.W.; Acquaye, D.K. 1963. Fertilizer responses in peasant cocoa farms in Ghana: a factorial experiment. Emp. J. Exptal Agr. 31: 115-123.

Smith, T.J.; Bastos, J.B. 1984. Alterações na fertilidade de um Latossolo Amarelo álico pela queima da vegetação. Rev. Bras. Ci. Solo, 8: 127-132.

Van Den Berg, E. 1995. Estudo florístico e fitossociológico de uma floresta ripária em Itutinga, MG, e análise das correlações entre variáveis ambientais e a distribuição das espécies de porte arbóreo-arbustivo. Universidade Federal de Lavras. Dissertação de Mestrado. 73pp.

Vieira, L.S. 1966. Ocorrência e formas de fósforo em solos da Amazônia, Brasil. Turrialba, Costa Rica: IICA. Tese de Mestrado. 106pp.

Vieira, L.S.; Santos, P.C.T.C. 1987. Amazônia: seus solos e outros recursos naturais. São Paulo: Agronômica Ceres. 416pp.

Vieira, L.S.; Santos, P.C.T.C.; Silva Jr., M.L.; Coutinho, R.M.V.1993. Formas de fósforo em solos do Estado do Pará - I - Latossolo Amarelo, textura média da parte Noroeste da Região Bragantina. Boletim da FCAP, 21: 65-75.

Recebido em 19/02/2002
Aceito em 22/02/2006