GEOCIÊNCIAS
Modelagem Sísmica via Métodos das Diferenças Finitas - Caso da bacia do Amazonas
Seismic Modeling by finites difference method – case of Amazon basin
Lindemberg Lima FERNANDES1*, João Carlos Ribeiro CRUZ2, Claudio José Cavalcante BLANCO1, Ana Rosa Baganha BARP1.
1 FAESA/PPGEC/ITEC – UFPA -Campus Universitário do Guamá, Rua Augusto Côrrea, 01 CEP 66075-110 - Caixa postal 479, fone: (091)32017328 - Belém - Pará – Brasil.
2 FAGEOF/CPGf/IG/UFPA
* Corresponding author. Tel: (091)32017328.
Email address: lberge@ufpa.br
RESUMO
Este trabalho tem por objetivo apresentar os resultados da modelagem sísmica em meios com fortes descontinuidades de propriedades físicas, com ênfase na existência de difrações e múltiplas reflexões, tendo a Bacia do Amazonas como referência à modelagem. As condições de estabilidade e de fronteiras utilizadas no cálculo do campo de ondas sísmicas foram analisadas numericamente pelo método das diferenças finitas, visando melhor compreensão e controle da interpretação de dados sísmicos. A geologia da Bacia do Amazonas é constituída por rochas sedimentares depositadas desde o Ordoviciano até o Recente que atingem espessuras da ordem de 5 km. Os corpos de diabásio, presentes entre os sedimentos paleozóicos, estão dispostos na forma de soleiras, alcançam espessuras de centenas de metros e perfazem um volume total de aproximadamente 90000 Km³. A ocorrência de tais estruturas é responsável pela existência de reflexões múltiplas durante a propagação da onda sísmica o que impossibilita melhor interpretação dos horizontes refletores que se encontram abaixo destas soleiras. Para representar situações geológicas desse tipo foram usados um modelo (sintético) acústico de velocidades e um código computacional elaborado via método das diferenças finitas com aproximação de quarta ordem no espaço e no tempo da equação da onda. A aplicação dos métodos de diferenças finitas para o estudo de propagação de ondas sísmicas melhorou a compreensão sobre a propagação em meios onde existem heterogeneidades significativas, tendo como resultado boa resolução na interpretação dos eventos de reflexão sísmica em áreas de interesse. Como resultado dos experimentos numéricos realizados em meio de geologia complexa, foi observada a influência significativa das reflexões múltiplas devido à camada de alta velocidade, isto provocou maior perda de energia e dificultou a interpretação dos alvos. Por esta razão recomenda-se a integração de dados de superfície com os de poço, com o objetivo de obter melhor imagem dos alvos abaixo das soleiras de diabásio.
PALAVRAS-CHAVE: Modelagem, Diferenças Finitas, Difração, Bacia do Amazonas.
ABSTRACT
This paper discusses the seismic modeling in medium with strong discontinuities in its physical properties. The approach takes in consideration the existences diffractions and multiple reflections in the analyzed medium, which, at that case, is the Amazon Basin. The stability and boundary conditions of modeling were analyzed by the method of the finite differences. Sedimentary rocks deposited since the Ordovician to the present, reaching depth up to 5 Km. The bodies of diabasic between the paleozoic sediments are layers reaching thickness of hundred meters, which add to 90.000 km3, form the geology of the Amazon Basin. The occurrence of these structures is responsible for multiple reflections during the propagation of the seismic waves, which become impossible a better imaging of horizons located bellow the layers. The representation this geological situation was performed an (synthetic) acoustic velocity model. The numerical discretization scheme is based in a fourth order approximation of the acoustic wave equation in space and time The understanding of the wave propagation heterogeneous medium has improved for the application of the finite difference method. The method achieves a good resolution in the interpretation of seismic reflection events. The numerical results discusses in this paper have allowed to observed the influence of the multiple reflection in a high velocity layer. It increase a loss of energy and difficult the interpretation of the target. For this reason the integration of surface data with the well data is recommended, with the objective to get one better image of the targets below of the diabasic layer.
KEYWORDS: Modeling, Finite Differences, Diffractions, the Amazon Basin
INTRODUÇÃO
As primeiras investigações geológicas sistemáticas na Bacia do Amazonas foram desenvolvidas por Derby (1877), Evans (1906), Paiva (1929) e Moura (1938). Eles descreveram e caracterizaram várias unidades litológicas ao longo dos principais rios da região. A base para a primeira coluna estratigráfica que se conhece foi fornecida por Oliveira & Leonardos (1943), e Petri (1952) . Além dos trabalhos de Wanderley Filho (1991).
A existência de grande volume de rochas de composição basáltica, intercaladas na forma de soleiras nas unidades de origem sedimentar que constituem as bacias paleozóicas amazônicas, faz com que a propagação das ondas sísmicas apresente padrão bastante complexo, como a existência do espalhamento por difração das ondas sísmicas nas áreas de mergulhos acentuados, próxima às zonas de falhas com planos verticais ou geradas por movimentação de domo salino. Isso dificulta o trabalho de interpretação sísmica na definição de alvos localizados abaixo das soleiras. Para contornar esta dificuldade, foi necessário um adequado tratamento dos dados sísmicos que tiveram como objetivo melhorar a definição da imagem sísmica nestas regiões. Para isto, foram utilizados modelos acústicos bidimensionais (2-D), com massa específica considerada constante e velocidade de propagação da onda variável em todo o espaço. Os dados de entrada para a geração do sismograma e “snapshots” são parâmetros relativos à fonte e receptores, além da matriz de velocidade.
O método das diferenças finitas é particularmente atraente para modelagem de geometria de estruturas complexas em subsuperfície, devido às grandes dificuldades encontradas em obter soluções analíticas. Na bacia Amazônica é freqüente a ocorrência de alvos de interesse para a exploração de hidrocarbonetos, subjacentes a estruturas formadas por tipos litológicos com altas velocidades de propagação da onda sísmica, e com deslocamentos devidos a presença de falhas. Estas situações típicas são consideradas neste trabalho.
O interesse nos modelos via métodos das diferenças finitas da equação da onda tem levantado questões a respeito do grau de correlação entre a solução de diferenças finitas e a obtida pelos métodos clássicos, comparação com a teoria dos raios. O problema de propagação de onda é teoricamente resolvido para um meio infinito, mas por causa da manipulação numérica computacional dos parâmetros do modelo físico, soluções por diferenças finitas só podem ser obtidas para um número finito de pontos. Sendo necessário utilizar um modelo finito, implicando assim, na introdução de fronteiras artificiais o que produz eventos espúrios como reflexões de borda. Como, o uso dessas fronteiras não pode ser evitado na geração de sismograma sintético por diferenças finitas, faz-se necessário procurar outras condições de fronteira adicionais que reduzam as reflexões nas bordas. Assim, serão comparadas as condições de fronteiras de Reynolds (1978) e Clayton and Engquist (1977), a fim de mostrar qual deles tem maior capacidade de absorção das reflexões de bordas.
MATERIAL E MÉTODOS
Os modelos sintéticos referidos para representar a bacia do Amazonas são: modelo A, representado pela figura 1 é composto por uma camada de alta velocidade e por interfaces planas horizontais sobre um semi-espaço infinito com a seguinte configuração: primeira camada de argila com velocidade de 2500 m/s, segunda camada de basalto com velocidade de 6400 m/s e por último a camada de calcário com a velocidade de 3000 m/s.

Figura 1 - modelo geológico para validação do programa de diferenças finitas
O modelo B, representado pela figura 2, tem como objetivo mostrar as difrações, é composto por um sistema de falhas normais com mergulhos acentuados, sobre um semi-espaço infinito, com a seguinte configuração: primeira camada de argila com velocidade de 2500 m/s, segunda camada de calcário com velocidade de 3000 m/s e por último a camada de arenito com velocidade de 4000 m/s.

Figura 2 – Estrutura geológica com falha
O modelo C, representado pela figura 3, é composto por três camadas falhadas, foi inspirado em estrutura geológica típica de bacias sedimentares, neste caso a Bacia do Amazonas, onde houve intrusão de diabásio e que posteriormente, por condições naturais, teve elevação de um domo salino, sobre um semi-espaço infinito. O modelo formado tem a seguinte configuração: primeira camada argilosa com velocidade de 2500 m/s, segunda camada de diabásio com velocidade de 6400 m/s, terceira camada de calcário com velocidade de 3000 (m/s) e o domo salino com velocidade de 4500 m/s, com extensão de 2500 m na horizontal e 1000 m na vertical. Foram feitos dois poços com profundidade de 795 m, localizados a 700 m e 1700m na superfície horizontal, a partir da origem do sistema de coordenadas cartesianas com objetivo de melhorar a interpretação dos alvos.

Figura 3 - Modelo geológico, tipo domo subjacente à estrutura de três camadas, sendo uma delas de alta velocidade, situação típica da Bacia do Amazonas.
Os parâmetros relativos ao levantamento foram dispostos conforme mostra a tabela 1.
Comprimento Horizontal (m) |
2500 |
Comprimento Vertical (m) |
1000 |
Distância entre receptores na superfície (m) |
12.5 |
Distância entre receptores no poço (m) |
12.5 |
Número de receptores na superfície |
192 |
Número de receptores no poço |
63 |
Tipo de fonte |
Fonte Linha |
Frequência da fonte na superfície |
50 Hz |
Frequência da fonte no poço |
50 Hz |
Tipo de Sinal |
Fuchs – Mueller |
Cobertura máx. do levantamento na superfície |
96% |
Cobertura máx. do levantamento no poço |
79.5% |
Intervalo de amostragem (s) |
0.0001710 |
Tempo total de propagação para a superfície (s) |
0.5 |
Tempo total de propagação para o poço (s) |
0.4 |
Número de amostras por traços na superfície |
2924 |
Número de amostras por traços no poço |
2339 |
DESCRIÇÃO DO MODELO DE VELOCIDADE
A modelagem dos dados sísmicos requer uma representação matemática do modelo da subsuperfície, porque é a partir desta que se vai determinar a qualidade do modelo. As ondas sísmicas se propagam com velocidades diferentes nos diversos tipos de rochas em função de suas propriedades físicas, (Dobrin and Savit, 1976), por exemplo, em granito 5640 m/s, basalto 6400 m/s, arenito 1400-4300 m/s, calcário 1700-4200 m/s, argila 1100-2500 m/s, sal 4500 m/s.
EQUAÇÃO DA ONDA ACÚSTICA
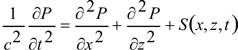
O campo de onda acústica é descrito por P(x,z,t) e u(x,z,t), onde P é o campo de pressão e u é o deslocamento da partícula. Assumindo que o campo de pressão é invariável na direção do eixo y, então a derivada em relação a y é zero, obtendo-se a equação da onda escalar (2-D) com densidade constante, expressa por:
(1) onde, x e z são coordenadas cartesianas, t é o tempo, C é a velocidade da onda acústica.
A aproximação de segunda ordem para a segunda derivada via diferenças finitas é dado por:
(2)
onde os operadores das equações (2) são [1 -2 1] e
.
Com a equação (2), é calculado o valor do campo de pressão para um tempo t = (n + 1)Δt, conhecendo os campos em nΔt e em (n-1)Δt.
Para se obter melhor aproximação na solução da equação da onda, utiliza-se o operador de quarta ordem na equação (1), para a segunda derivada, o qual é dado por:
(3)
onde os operadores da equação (3) são [-1 16 30 16 -1].
Desta forma, utilizando a equação (3), é determinado o valor do campo de pressão para um tempo t = (n +2)Δt, conhecendo os campos em n Δt, (n-1) Δt, (n+1) Δt e em (n-2) Δt, ou seja, é conhecido o tempo futuro, a partir do conhecimento dos tempos presente e passado.
ANÁLISE DA DISPERSÃO NUMÉRICA
A solução da equação da onda por operadores de diferenças finitas é um processo estável dentro de certos limites. Alford et al. (1974) apresentaram estes limites para o caso de uma malha regular de pontos, ou seja, Δx = Δz.
A velocidade de fase
e a velocidade de grupo,
, passam a ser função do espaçamento entre
os pontos da malha, da freqüência do sinal e do ângulo de propagação, gerando dispersão numérica no sinal.
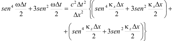
Para o esquema de quarta ordem, substituindo o harmônico
na equação (3) é encontrada a seguinte relação de dispersão:
(4)
resolvendo para
, com
, (5) que define o critério de estabilidade para o esquema de quarta ordem. A figura 4 apresenta a velocidade de fase normalizada para diferentes ângulos de propagação, onde j é o ângulo entre a onda plana e o eixo x. Para que não ocorra dispersão numérica n deve ser igual a seis que corresponde ao número de pontos por comprimento de onda.

Figura 4 – Normalizada a velocidade de fase para diferentes ângulos de propagação

Figura 5 – Sismograma sintético sem condição de absorção
REFLEXÕES DE BORDA E CONDIÇÕES DE ABSORÇÃO
O problema de propagação de onda é teoricamente resolvido para um meio infinito, mas por causa da memória limitada dos computadores, soluções por diferenças finitas só podem ser obtida para um número finito de pontos por meio da introdução de fronteiras o que causa as reflexões de bordas.
Neste trabalho são utilizadas as condições de fronteiras de Reynolds (1978) e Clayton et al. (1977), a fim de que grande parte dessas reflexões de bordas seja absorvida, com isso se tem uma precisão mais adequada do modelo aplicado.
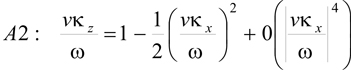
Segundo Clayton & Engquist (1977), a estabilidade da equação para a extrapolação do tempo é assegurada pelo fato de que a sua relação de dispersão é dada por.
(6) onde ω é uma função real dos números de ondas espacial kx e kz. Fazendo-se a
extrapolação espacial e aproximação paraxial da equação da onda na direção z, encontram-se as condições de absorção de Clayton A1 e A2.
(7)
(8)
Uma forma de expansão geral, que torna o esquema de diferenciação estável, pode ser encontrada pela relação de recursão de uma série de aproximação de Padé para uma raiz quadrada (Clayton & Engquist, 1977).
(9)
onde o j-ésimo corresponde a uma aproximação paraxial sendo obtido como
. O termo de erro nas expansões indica que as aproximações são válidas para ondas que se deslocam dentro de um cone de eixo z.
As figuras 6 e 7 mostram como estão relacionadas às condições de absorção A1 e A2 de Clayton, lado esquerdo, com uma fronteira sem condição de absorção lado direito. É observado que a condição de absorção A2é melhor do que a condição de absorção A1.

Figura 6 - Condição de absorção de Clayton A1
Figura 7 - Condição de absorção de Clayton A2
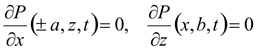
Segundo (Reynolds, 1978), o problema físico de interesse, consiste em resolver a equação ou as equações da forma da equação (1) para um meio cujo formato seja,
(10) mas por considerações práticas, o problema é resolvido para,
(11)
onde as condições iniciais são especificadas em t=0, usando condições de fronteiras de Dirichlet e Neuman, na forma,
; (12) e
(13)
Com as condições de fronteiras (12) e (13) são observadas as reflexões dos lados x(+a), e do fundo (z=b) do modelo. O objetivo é buscar novas condições de tal forma que as reflexões das ondas incidentes sejam atenuadas, assim, baseado na análise do coeficiente de reflexão bem como em experimentos numéricos, é recomendado resolver os seguintes problemas para reduzir as reflexões de bordas, equação 14.
em
(14) onde dr,s é a função delta de Kronecker e f(t)é o termo da fonte.
A figura 8 apresenta, como está relacionada, à condição de absorção de Reynolds comparada com uma fronteira sem absorção e a figura 9 faz a comparação entre as condições de absorção de Reynolds e Clayton.

Figura 8 - Condição de absorção de Reynolds

Figura 9 - Comparação entre Reynolds e Clayton
FONTE
No algoritmo é utilizada a chamada fonte linha, equação (15).
(15)
onde P(x,z,t) campo de pressão, c(x, y) é a velocidade, x e z coordenadas, t tempo e S(x, z, t) termo fonte. Notação numérica,
(16)
O sinal utilizado foi à função Fuchs-Mueller de fase mista, figura 10.
(17)
onde Dt é o intervalo de amostragem temporal, n é o índice de amostragem temporal, t é duração do sinal e x o intervalo de amostragem.

Figura 10 - Sinal Fuchs-Mueller, fase mista
RESULTADOS
Os dados sintéticos foram obtidos via método das diferenças finitas para resolver a equação da onda acústica (2-D), calculados pelo programa de diferenças finitas FDSKALAR (Sandmeier & Liebhardt, 1992). Neste trabalho a validação desse programa, utilizado para gerar os sismogramas e ‘snapshots’, foi comparada com o modelo A de modelagem Sísmica pela Teoria do Raio SEIS88 (Cerveny & Psencik, 1988). Observa-se que o resultado obtido pela Teoria do Raio (Figura 11) é semelhante ao resultado obtido por diferenças finitas (Figura 12), com isso comprova-se a validade do código computacional utilizado neste trabalho.

Figura 11 - Representa as curvas de tempos de Trânsitos obtidos pela Teoria do Raio, programa Seis88, onde (a) primeira reflexão, (b) segunda reflexão, (c) múltipla da segunda reflexão, (d) múltipla da primeira reflexão
Para melhor visualização e representação dos eventos e também pelo fato das reflexões terem amplitudes maiores que as difrações, estas não se destacam muito no sismograma, então, foi necessário à aplicação de um Controle de Ganho Automático (AGC).

Figura 12 - Sismograma sintético por diferenças finitas
O modelo A, além da validação do programa foi usado de modo a auxiliar na interpretação dos principais eventos existentes no sismograma, como as reflexões primárias e múltiplas de primeira ordem. O modelo B possibilita análise mais detalhada do resultado, o que pode ser observado no sismograma da figura 13 com as seguintes configurações: freqüência da fonte 50 Hz, número de amostras 2924. Tal modelo representa qualquer região com falha, com destaque para as reflexões e difrações, já que esses pontos são como uma fonte secundária, pois quando a onda incide nestes pontos a frente de onda muda o seu comportamento. Isto se verifica como resposta no sismograma sintético e “snapshot” que será observado nos diversos estágios de propagação da onda.

Figura-13 - Sismograma sintético do modelo B
No modelo C representa de forma sintética situações geológicas típicas da bacia do Amazonas, com muitas falhas e cantos onde se destacam as difrações, reflexões, refrações e múltiplas reflexões, observado no sismograma (Figura 14) com as seguintes configurações: freqüência da fonte 50 Hz, número de amostras 2924 por traços AGC=100. Tais falhas também podem ser observadas nos instantâneos de tempo (snapshots), que são observados nos diversos estágios de propagação da onda.

Figura 14 -Sismograma sintético do modelo C
Observa-se que, entre as camadas há uma de basalto com alta velocidade em relação às demais. Isso faz com que a frente de onda, ao passar pela camada intermediária, perca grande parte de sua energia. Assim, quando a onda atinge o domo de sal já está com pouca energia, o que torna seu retorno fraco e insuficiente para obter informações sobre refletores abaixo do derrame basáltico, o que prejudica a análise final do resultado.
SÍSMICA DE POÇO
Para se ter melhor controle na análise e obtenção dos resultados foram feitos dois poços localizados a 700 m e 1700 m a partir do eixo de origem de coordenadas cartesianas (x,y) igual à zero na superfície. O poço na posição de 700 m, referente ao modelo C, é o que apresentou melhor resultado no sismograma da figura 15, com os seguintes eventos: (a) onda transmitida 1a camada, (b) reflexão da 1a camada, (c) ‘head wave’, (d) onda transmitida 2a camada e (e) onda transmitida 3a camada.

Figura 15 - Poço de 700 m representado para o modelo C
A figura 16 representa um poço na posição de 1700 m, referente ao modelo C, com os seguintes eventos: (a) onda transmitida 1a camada, (b) reflexão, (c) “head wave”, (d) onda transmitida 2a camada (e) onda transmitida 3a camada.

Figura 16 - Poço de 1700 m representado para o modelo C
As figuras destacam as reflexões por terem amplitudes maiores que as difrações e as reflexões múltiplas, devido à camada de alta velocidade “head wave”, chegarem primeiro que a onda transmitida a partir do 12o geofone. Isso demonstra a grande influência de uma camada de alta velocidade na resposta da subsuperfície à propagação de uma onda sísmica.
CONSIDERAÇÕES FINAIS
O fenômeno da difração ocorre sempre que as ondas sísmicas encontram uma irregularidade em uma superfície refletora, tais como um canto ou um ponto onde o comprimento de onda é da ordem do raio de curvatura da interface. Outro fato importante das falhas geológicas é que elas causam forte distorção na forma da onda o que dificulta a interpretação dos dados sísmicos.
Um dos grandes problemas na simulação de modelos que envolvem métodos numéricos, é a velocidade dos computadores. Para contornar esse problema, o tamanho da matriz e o número de etapas de tempo são restringidos. Contudo, para o método de diferença finita um número mínimo de pontos da matriz por comprimento de onda sísmica é necessário para se obter uma precisão aceitável, para este modelo o número foi seis. Por esta razão quase todos os estudos numéricos envolvem problemas bidimensionais com variações da velocidade de propagação da onda em duas dimensões espaciais.
Em modelos complexos, as reflexões, difrações, e outros eventos se apresentam de forma que fica difícil a sua identificação. Este trabalho aponta a necessidade de novos métodos como os de elementos finitos de processamento sísmico capazes de produzir imagens acústicas de forma que se tenha melhor clareza na análise final do resultado. Portanto, onde o meio geológico é complexo, por exemplo, meio com variação brusca de velocidade, se recomenda a integração de dados de sísmica de superfície com os dados de poço, com o objetivo de se obter uma melhor imagem dos alvos abaixo das soleiras de diabásio.
BIBLIOGRAFIA CITADA
Alford, R.M.; Kelly, K.R.; Boore, D.M. 1974. Accuracy of Finite-difference Modeling of the Acoustic Wave Equation. Geophysics, 39: 834-842.
Alterman, Z.S.; Karal, F.C. Jr. 1968. Propagation of Elastic Waves in Layered Media by Finite-difference Methods, Bull. Seismol. Soc. Am., 58: 367-398.
Cerveny, V.; Psencik, I. 1988. SEIS88, Ray tracing program package.
Clayton, R. W.; Engquist, B. 1977. Absorbing Boundary Conditions for Acoustic and Elastic Wave Equations. Bull. Seismol. Soc. Am., 67: 1529-1541.
Derby, O.A. 1877. Contribuições para a geologia da região do baixo Amazonas. Arch.Mus.Nac., 2:77-104.
Dobrin, M.R.; Savit, C.H. 1976. Introduction to Geophysical Prospecting – New York McGraw-Hill.630p.
Engquist, B.; A. Majda 1977. Absorbing boundary conditions for the numerical simulation of waves, Math. Comp. (in press).
Evans, J.W. 1906. The rocks of the River Madeira and adjoining portions of the Beni and Mamoré. Quart. Journ.Geol. Soc.London, 62(1):88-124.
Moura, P. 1938. Reconhecimento geológico no vale do rio Tapajós. Rio de Janeiro, Serv. Geol. Min., Bol. 67.
Mitchell, A.R. 1969 Computational Methods in Partial Differential Equations. New York, John Wiley and Sons. 255p.
Oliveira, A.I.; Leonardo, O.H. 1943. Geologia do Brasil. 2º ed. Rio de Janeiro, Ministério da Agricultura, Serviço de Informação Agrícola. 813p.
Paiva, G. 1929. Vale do Rio Negro. Rio de Janeiro. Serv. Geol. Min. Brasil., Bol. 40.
Petri, S. 1952. Fusulinidade do Carbonífero do Rio Tapajós Estado do Pará. São Paulo. Soc. Brás.Geol., Bol. 1: 30-45.
Reynolds, A.C., 1978. Boundary Conditions for the numerical solution of wave propagation problems. Geophysics, 43: 1099-1110.
Sandmeier, K . J. & Liebhardt, G. 1992. Software Refra. Germany, Geophysical Institut of Karlsruhe University.
Wanderley Filho, J. R. 1991. Evolução estrutural da Bacia do Amazonas e sua Relação com o Embasamento. Universidade Federal do Pará. Centro de Geociências.Dissertaçao (Mestrado).125p.
Recebido em 14/09/2007
Aceito em 08/10/2008